金相組織定量分析步驟流程
金相組織的定量與分析,是金相檢測之中極為重要的一個環節。具體的分析過程一本分為:金相組織定量分析.晶粒度分析以及M-A腐蝕分析。一般而言,要實現這些分析最重要的是需要運用到圖像處理和分析的技術。
圖像分析處理技術是指:以超聲輔助焊焊工藝制備的Cu/Sn58Bi-1.5Al2O3/Cu連接頭為研究對象,經切割、打磨、拋光、腐蝕后利用FEI-InspectS50掃描電鏡獲得Sn-Bi合金微觀形貌見圖1。其中基體呈現灰色枝狀β-Sn相,白色島狀相為Bi相。
圖2直方圖均衡后圖像 圖3原圖像直方圖
在圖像處理之前,一般采用直方圖均衡的手段對圖像進行增強,以提高圖像的對比度,見圖2。直方圖均衡后,雖然圖像灰度級的動態范圍得到了展寬,但也增強了背景噪聲,可能出現偽輪廓。對于Sn-Bi合金金相組織圖像而言,灰色β-Sn相與白色Bi相對比度較大,兩種組織的灰度直方圖峰值易于區分,見圖3,因此可不進行圖像增強操作。當金相圖太亮或太暗時,直方圖區間集中,峰谷難以辨別,此時可以采用直方圖均衡算法對圖像進行非線性拉伸,提高整體對比度。
閾值分割
為了將前景Bi相從Sn基體中分離出來,需要基于灰度閾值對金相圖進行分割,從而得到Bi相的像素連通集。全局閾值分割分成手動和自動兩類,手動閾值的選取是決定分割效果的關鍵因素[2]。根據圖3中的直方圖雙峰分布情況,當閾值取125時,分割后圖像(見圖5a),顆粒邊界清晰,分割效果較好;當閾值取160時,可見Bi相部分粘連點消失,但顆粒內部出現大量前景像素點被誤分為背景(見圖5b),對后續統計造成困難。為了克服人工閾值設定的主觀性,使機器視覺系統適應不同亮度的圖像,可以采用自動閾值分割法。
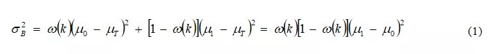
圖5c~圖5f分別顯示了采用自動閾值分割中的聚類法、最大類間方差法(OTSU法)、最大熵法和矩保持法分割后的圖像,可以看出聚類法和OTSU法對于金相圖像的分割效果較好。OTSU算法將圖像按照灰度級分成背景和目標兩類,兩類間的方差越大,說明目標和背景的區別度越大,一般認為其錯分概率最小[8]。具體過程為:假設金相圖像被閾值k分成背景A和目標B兩部分,則圖像的類間方差為
式中,w(k)為灰度級0~k的概率分布;和 分別為圖像及A、B兩個類的平均灰度[7]。算法遍歷0~255灰度級找到使最大的閾值k,將大于k的Bi相灰度設為1,小于k的Sn基體灰度置為0,實現目標分割。
形態學處理
形態學處理主要是去除閾值分割后二值圖像中的噪聲及Sn相、Bi相中灰度交疊的部分引起的顆粒粘連,包括腐蝕、重構、小顆粒移除和孔洞填充等過程。腐蝕操作可去除兩個顆粒間細小的地峽連接,降低后續顆粒參數統計的誤差。設A為要腐蝕的二值化圖像,B為結構元素,都為歐氏空間Z2中的集合[9],則B對A的腐蝕定義為
B對A進行腐蝕的結果為結構元素B平移z后仍然包含在A中的所有z點的集合。圖6b哦使用元素值為1、尺寸為3×3的結構元素對圖6a進行6次形態學腐蝕后的圖像,可以看出顆粒1和顆粒2之間的地峽已被完全斷開。當使用IMAQ Seperation函數執行的腐蝕運算時,如果地峽在腐蝕階段被去除了,那么在重構過程中將不會得到恢復,以保證金相顆粒的尺寸不變。對于因腐蝕而在顆粒內部增加的孔洞,可以利用IMAQ FillHole函數將其用1填充,見圖c。可以看出,原圖及腐蝕后產生的孔洞都被填充,金相顆粒完整封閉。
(a)原圖像 (b)6次腐蝕后 (c)填充后
圖6形態學處理效果圖
定量分析
本課題設計的定量金相分析系統采用模塊化程序設計理念,定量分析時的操作過程主要由金相圖像的標定、顯示項配置及過濾參數約束、閾值設定、形態學修正、數據報表生成等構成。
金相圖像標定
由于對金相圖像的所有測量操作都是以像素為單位計算的,因此需要對金相圖像進行標定將測量結果轉化成實際值[10]。金相圖中標尺的長度已知,可根據其所對應的像素數得到實際長度和像素數的對應關系。系統界面見圖7,首先利用左側的繪圖工具在圖像上繪制矩形感興趣區域(ROI),將矩形的左右邊緣對其標尺線兩端,然后利用IMAQ Convert Rectangle to ROI函數轉換為用起止坐標和旋轉角度描述的簡單數據結構,將左右邊緣的坐標相減得到標尺像素數,從而得到實際長度和像素數的比值(μm/pixel),最后點擊“校準”按鈕完成標定。由掃描電鏡在4000倍下拍攝的Sn-Bi合金金相圖的標尺為30 μm,實驗測得標定結果為0.07299 μm/pix。
顆粒特征參數測量
由于Bi相顆粒的數量、尺寸、面積、周長、形態等對合金的力學性能有重要影響[1],因此著重從這幾個方面對金相組織進行定量分析。由于組織顆粒形狀不規則,本課題采用Waddell盤半徑和Feret直徑來表示粒徑,Waddell盤半徑是在顆粒面積不變的前提下,將顆粒等效為圓形后所對應的半徑;Feret直徑則為顆粒邊界內的最大長度,測量結果見圖8,其中圖8a為劃定的ROI區域,圖8b為經過條件篩選后顆粒識別圖,圖8c為由測量結果生成的Feret直徑分布圖。
依據上述方法,本課題統計了3張金相圖像的顆粒Feret直徑、粒子周長、面積比等特性參數,見表1。商用DT2000M系統的分析結果見表2,可見兩者測得面積比基本一致,Fheywood圓度因子(粒子周長與Waddell盤周長比)和DT2000M系統測量的圓度所反映的與1的偏離程度基本一致,但DT2000M系統未對粘連顆粒進行處理導致檢測到的顆粒數減少,Feret直徑和周長數值偏大。
結論
在LabVIEW平臺下結合數字圖像處理技術開發了錫鉍合金焊料金相組織的定量分析系統,實現了金相圖像的增強、濾波及閾值分割等預處理過程,完成了金相顆粒特征參數的定量分析。該系統具有良好的人機交互界面,可擴展性強,組織特征分析快速、準確,可為錫鉍合金焊料斷裂及韌化機制的研究提供可靠的測量數據,同時也可應用本研究對其他金相組織進行定量分析。






浙公網安備 33042402000106號 a>

